学校首页      教育部重点实验室     设为收藏
  • 首页
  • 学院概况 +
    • 学院简介
    • 现任领导
    • 历史沿革
    • 组织机构
  • 师资队伍 +
    • 师德师风
    • 师资概况
    • 教师信息
    • 特聘教授
    • 讲座讲授
    • 人才引进
    • 退休教工
  • 本科生教育 +
    • 专业设置
    • 质量工程
    • 实践教学
    • 教研教改
    • 竞赛与获奖
    • 教学管理
    • 规章制度
    • 人才培养
  • 研究生教育 +
    • 培养方案
    • 学位点
    • 指导教师
    • 日常管理
    • 规章制度
    • 研究生风采
  • 学科建设 +
    • 重点学科
    • 产学研合作
    • 规章制度
    • 一流学科
    • 省高校重点实验室
  • 科学研究 +
    • 科研动态
    • 科研项目
    • 科研成果
    • 规章制度
    • 科研平台
    • 科研获奖
    • 相关链接
  • 党政工作 +
    • 党务工作
    • 党史学习
    • 关工委
    • 工会工作
    • 消防安全
    • 离退休工作
    • 计生工作
  • 社会服务
  • 资料下载 +
    • 科研资料下载
    • 教学资料下载
    • 行政资料下载
    • 其他资料下载

资料下载 +

  • 科研资料下载
  • 教学资料下载
  • 行政资料下载
  • 其他资料下载

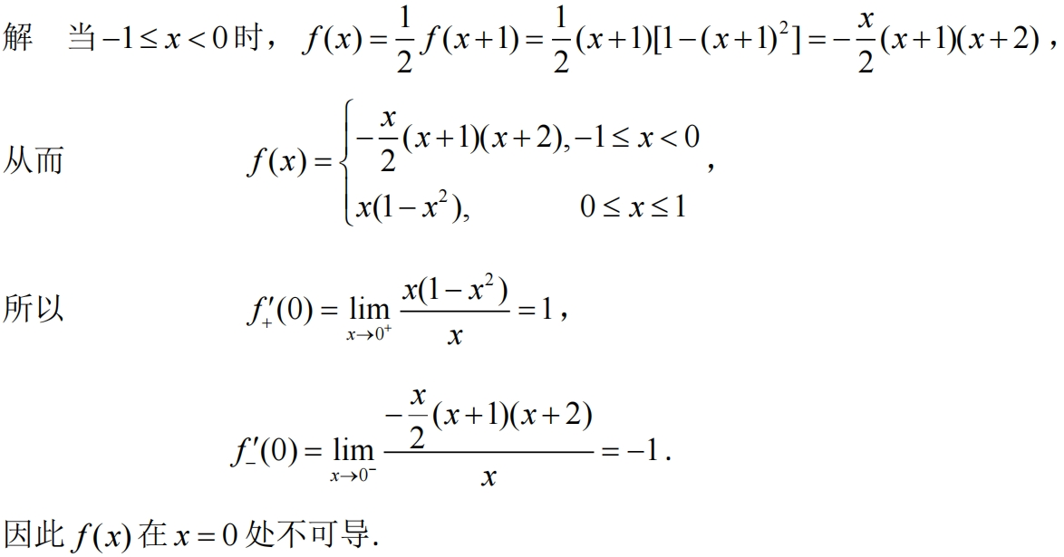
习题2.1 B组第5题解答

发布人:日期:2024年12月02日 09:39浏览数:

上一条:习题2.2 B组第7题解答

下一条:牛顿

【关闭】 打印    收藏
版权所有 湖南师范大学数学与统计学院